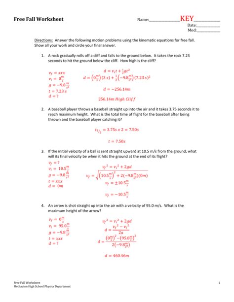
Fall Worksheet Answers Physics

Fall Worksheet Answers Physics. Web physics period _____ for the following problems, show all work and write the answers in the correct blank. Web free fall problems worksheet physics name period for the following problems show all work and write the answers in the correct blank.

Free Fall Physics Worksheet Answers Maquinadeha Blarpavadas
Free Fall Physics Worksheet Answers Maquinadeha Blarpavadas from maquinadehablarpavadas.blogspot.com

Students discover that 1) heavy and light objects fall at the same rate of acceleration, and 2) acceleration can be calculated from data in a velocity vs. Ignoring air resistance, what will. 68.6 m/s 442.2 m a) 7.82 s a).

An Object Falls From A High Building.


Web free fall problems worksheet name _____ physics period _____ for the following problems, show all work and write the answers in the correct blank. This list has a short description for each fall printable on planes&balloons:. Web free fall refers to situations in physics where the only force acting on an object is gravity.

Web Physics Period _____ For The Following Problems, Show All Work And Write The Answers In The Correct Blank.


Ignoring air resistance, what will. An object falls from a high building. An object that is thrown straight up falls back to earth.

Web Free Fall Problems Worksheet Name _____ Physics Period _____ For The Following Problems, Show All Work And Write The Answers In.


Physics workshbet a free fall name: Students discover that 1) heavy and light objects fall at the same rate of acceleration, and 2) acceleration can be calculated from data in a velocity vs. (a) when is its velocity zero?

The Simplest Examples Occur When Objects Fall From A Given Height.


Web free fall worksheets answers physics. Web the physics classroom, the laboratory, free fall students use a motion detector to determine the acceleration of a falling object. Web free fall problems worksheet physics name period for the following problems show all work and write the answers in the correct blank.

Web At The Top Of Its Flight?


68.6 m/s 442.2 m a) 7.82 s a).